□ 용어 정리
1. 암판정
토공의 절취, 구조물 기초 터파기 등의 작업중 나타나는 암질과 암반선을 결정하기 위한 일련의 행위
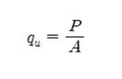
2. 일축압축강도
시험편의 장축방향으로 압축 하중을 가했을 때 시험편이 파괴되지 않고 견딜 수 있는 최대 하중을 하중
방향으로 수직인 시험편의 초기 단면적으로 나눈 값

3. 슈미트 해머시험
해머가 암반표면에 부딪칠 때 그 반발력을 측정해 암석, 암반의 강도나 탄성계수를 추정
4. 탄성파 속도 측정
시험편을 탄성파가 통과하는데 소요되는 시간을 측정하여 탄성파인 P파와 S파의 전파 속도를 구하는
비파괴시험이다
시험편을 기계에 연결된 송신자와 수신자 사이에 끼우고 적당한 힘으로 가압하여 탄성파가 송신자로부터
시험편을 거쳐 수신자에 이르는 데 소요된 시간을 계측하여 시험편의 길이를 소요된 시간으로 나누어
탄성파 전파속도를 결정한다
5. RQD : 암질지수(Rock Quality Designation)
시추코어중 10cm 이상되는 코아편의 길이의 합을 시추길이로 나우어 백분율로 표시한 값으로서 암질의
상태를 나타내는데 사용한다. 이때 코아의 직경은 nx 규격이어야 한다
※ NX와 BX는 시추구경에 따른 국제규격 분류로서 NX size의 외경은 76mm(코아직경(내경) 54.7mm),
BX size의 외경은 60mm(코아직경(내경) 42mm)이다
6. TCR : 회수율(Total Core Recovery)
단위 시추길이에 대한 회수된 코어의 길이비를 백분율로 표시한 값이다
□ 암판정 절차
1. 현장보고
시공시 다음 사항이 발생할 경우 감리원에게 즉시 보고해야 한다
1) 현장의 토질이 설계 내역과 상이한 경우
2) 암반이 노출될 때
3) 기타 공법변경 및 설계변경이 요구될 때
2. 제출 자료
1) 발생위치
2) 암선 측량 도면
3) 현장사진
4) 수량산출서(토적표)
5) 변경 내역서
6) 기타 참고자료
3. 암판정 준비
1) 암선 노출(일부 or 전부)
- 법면 : 10m 간격으로 종방향으로 노출 시킨다
- 토질이 변경되는 곳은 추가로 노출 시킨다.
- 구조물 기초 : 전부 노출 시킨다
- 터널 : 암질 변화시
2) 암선 측량
3) 도면 작성
4) 수량 산출
5) 내역 작성
6) 암판정 일정 협의(비상주, 감독)
7) 물청소
4. 암판정
1) 암판정 망치 or 슈미트 해머 준비
2) 시료 채취 및 의뢰
3) 암선 측량(광파기 or GPS 준비)
4) 검측 사진 촬영
5) 도면, 수량 확정
6) 시험 결과 나오면 해당 내역 적용해 실정보고
7) 추후 설계변경 반영
□ 참고자료
1. 암판정위원회 사전점검사항
2. 암판정 지침(도로공사)
3. 표준품셈의 암반분류(건교부)
---------------------------------------------------------------------------------------------------
#cad#autocad #캐드 #토목 #횡단면도 #토목도면 #도로도면 #토목도로도면 #토목cad #기초 #암판정 #암분류 #리핑 #발파암 #연암 #경암 #슈미트 #해머 #풍화암 #측량 #광파기 #gps #암검측 #실정보고 #설계변경 #물청소 #횡단작성 #암선 #토적표 #암노출
'토목 > 토공' 카테고리의 다른 글
| 토목시공의 이해(토공 기성) (0) | 2023.03.02 |
|---|---|
| 편경사 (0) | 2020.08.26 |
| 토공 유동 프로그램(Mass Curve 4.0) (2) | 2020.07.21 |
| 토질주상도(시추 주상도), 표준관입시험 (0) | 2020.07.20 |